군수열
수열{ }이 어떤 규칙에 의하여
항을 몇 개씩 묶어서 이루어지는 수열을 군수열이라 하고, 다음과 같은 순서대로 구한다.
[풀이방법]
(1) 규칙성을 갖는 군으로 나눈다.
(2) 각 군 안의 항의 개수를 조사한다.
(3) 제 n군의 첫째항을 구한다.
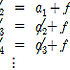
(4) 각 군의 첫째항들로 이루어진 수열에서 일반항을 구한다.
(5) 제 1군부터 제 n군까지의
합 을 구할 때
(이때,
는 제 k군의 총합)
예를 들어 보자
예제) 수열 { }의 항을 아래와 같이
첫째항부터 순서대로 1개, 2개, 3개, …로 묶어서 나타내었다. 첫 번째 묶음부터 차례로 제1군,
제2군, 제3군, …이라 할 때 다음을 구하여
보자.
(1),(1,2),(1,2,3),(1,2,3,4),(1,2,3,4,5), … |
(1) 제 1군부터 제 n군까지의 항의 개수
(2) 의 값
(3) 의 값
풀이)
(1) 제 n군의 항의 개수=n개
따라서 제1군부터 제 n군까지의 항의 개수는
개
(2) 180항은 몇군의 몇 번째에 있는지를 구하기 위하여 위에서 구한 n군까지의 항의 개수를 이용하여 180항이 몇군에 있는지를 구한다.
제 1군부터 제 18군까지의 항의 개수 = 이므로 180항은 제 19군의 9번째
항임을 알 수 있다.
따라서 =9 이다.
(3) n군의 항의 합 =
따라서 의 값=
(제 1군부터 18군까지의 항의 합) + (제 19군의 첫째항부터 9번째
항까지의 합)
이므로
이렇게 하면 군수열의 값을 구할 수 있다.
다음 첨부파일은 군수열에 관련된 문제입니다. 다운받아서 풀어보세요.
군수열 관련 파일 :
math1_군수열.hwp
'Joy Of Math > 생각넓히기' 카테고리의 다른 글
| 부등식의 사칙연산 (2) | 2019.01.21 |
|---|---|
| 수열의 귀납적 정의(점화식) (0) | 2019.01.18 |
| 삼각형의 무게중심 구하기 (0) | 2019.01.18 |
| 헤론의 공식 증명 (2) | 2019.01.18 |
| 하노이 탑의 일반항을 구하기 (0) | 2019.01.18 |

