728x90
■ 넓이는 유한하지만 둘레의 길이는 무한한 도형 (눈송이 곡선)
스웨덴의 수학자 코흐(von Koch, H., 1870~1924)는 넓이는 유한하지만 둘레의 길이는 무한한 도형을 소개했는데, 이들 중 하나를 ‘눈송이 곡선(snowflake curve)’이라고 한다.
이 도형을 만드는 방법은 다음과 같다.
(1) 정삼각형을 한 개 그린다.
(2) 정삼각형의 각 변을 삼등분하여 가운데 부분을 한 변으로 하는 정삼각형을 그리고, 가운데 부분을 지운다.
(3) 그려진 도형의 각 변에 (2)의 과정을 반복한다.

이런 과정을 계속 진행하면 눈송이 곡선이 만들어 진다. 이 도형에서 넓이와 둘레의 길이를 구해보자.
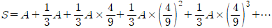
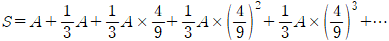
1. 넓이(S)

처음 정삼각형의 넓이를 A라 하고 [1단계]에서 늘어나는 부분의 넓이는

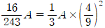
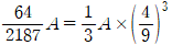
이다. 위와 같은 방법으로 다음 단계의 넓이를 구하면 다음과 같다.
| 늘어나는 부분의 넓이 | |
| 1단계 | |
| 2단계 | |
| 3단계 | |
| 4단계 | |
| … | … |



눈송이 곡선이 유한한 넓이를 갖는 것은 눈송이 곡선을 둘러싸인 유한한 넓이를 갖는 원을 그려 보면 쉽게 알 수 있다. 이를 급수를 이용하면 눈송이 곡선의 넓이는 수렴함을 식을 통해 알 수 있으며 유한하다.
2. 도형의 둘레의 길이
[1단계]의 도형의 둘레의 길이는

[2단계]의 도형의 둘레의 길이는

…
따라서 [n단계]의 도형의 둘레의 길이는

따라서 공비가 1보다 큰 수이므로 무한히 커진다.

눈송이 곡선은 넓이는 유한하지만 둘레의 길이는 무한한 도형이다.
반응형
'수학교과실 > 미적분' 카테고리의 다른 글
| 삼각함수의 극한의 의미 (2) | 2022.04.18 |
|---|---|
| 오일러 수 e(무리수) 와 뉴턴 (0) | 2022.04.08 |
| 그림을 이용하여 삼각함수의 덧셈정리 확인하기 (0) | 2022.04.04 |
| 프톨레마이오스(Ptolemaeos)의 삼각함수의 덧셈정리 증명 (0) | 2022.04.04 |
| 속도와 거리 (0) | 2021.01.10 |




